欢迎访问加桥出国 · 18年+专注北美/欧洲移民留学
登录
注册
首页
全球移民
留学规划
院校库
留学服务
签证服务
旅游签证
探亲访友
留学签证
工作签证
资讯百科
精选百科
移民资讯
留学资讯
签证资讯
智能评估
移民评估
联邦EE打分
BC省提名打分
安省海外劳工移民打分
移民分数
关于加桥
企业介绍
发展历程
团队介绍
核心业务
成功案例
联系我们
中国热线
400-628-6618
加拿大热线
1-778-861-6618
大洋洲
新西兰
澳大利亚
瓦努阿图
北美洲
加拿大
美国
圣基茨
格林纳达
圣卢西亚
巴拿马
多米尼克
安提瓜
欧亚
土耳其
希腊
葡萄牙
马耳他
英国
西班牙
中国香港
韩国
新加坡
马来西亚
日本
首页
>
成功案例
>
案例列表
>
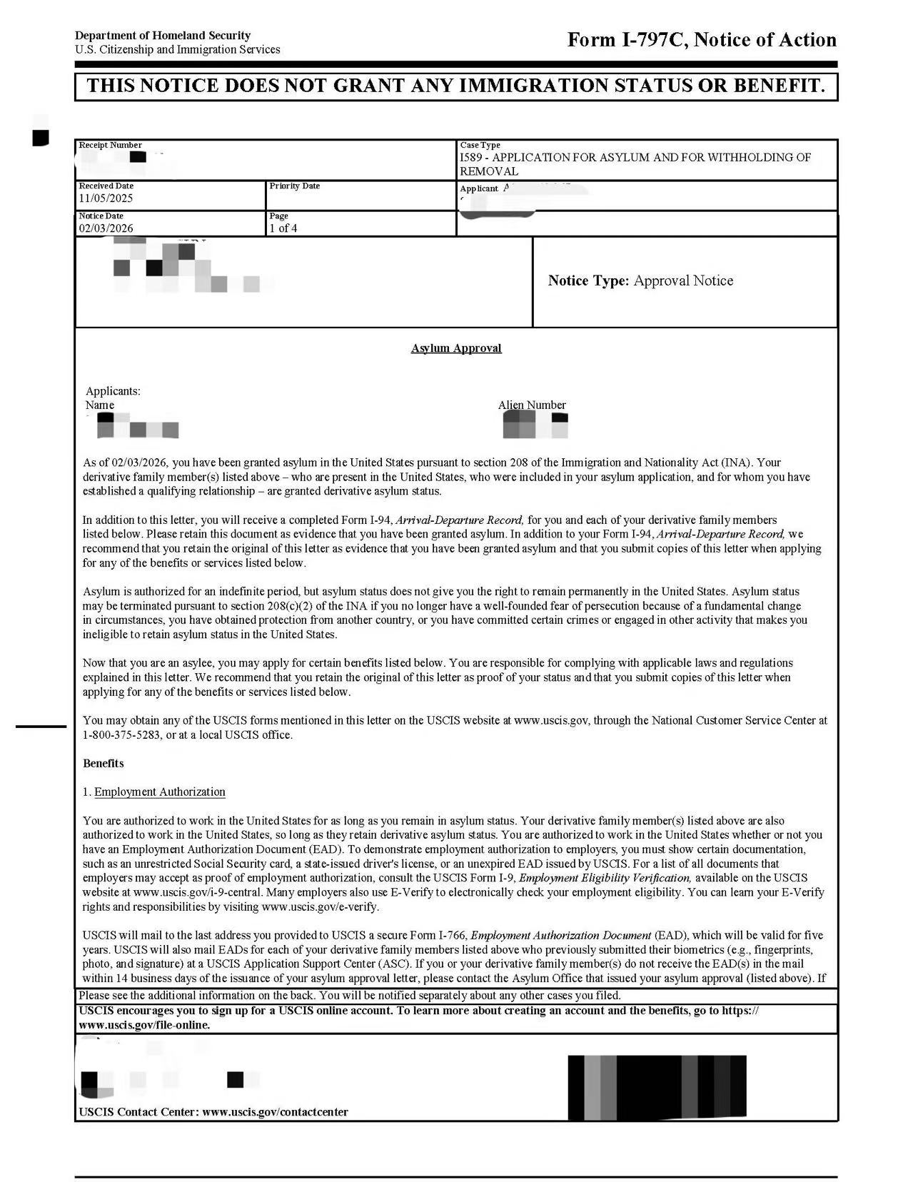
恭喜Z同学3个月拿美国绿卡
恭喜Z同学3个月拿美国绿卡
2026-04-21
79个阅读
Z同学
申请国家
美国
获批项目
美国宗教移民
获批时间:2026-02-03
美国🇺🇸宗教快速绿卡❤恭喜~Z同学❤
3个月get永居卡 🔜
2025.10签约
2025.11递交,12月面试
2026.2.3面试通过,寄身份卡 ✅
恭喜🎊🙎🏻♂️Z同学,藤校毕业🎓 投行工作,3年opt快到期 【无门槛】 孩子能单办 2-6个月拿永居卡
最新案例
恭喜J先生一家三口获批土耳其移民
恭喜S先生加拿大LMIA紧缺职位工签顺利获批
恭喜T先生获批新西兰六分制移民
热门案例
恭喜X同学高分获联邦EE技工类邀请
· 恭喜🎊客户S先生新西兰绿卡顺利下签!
· 恭喜L总获批加拿大联邦小镇移民RCIP
· 恭喜L总新加坡EP长居身份最新获批
· 恭喜J先生一家三口获批土耳其移民
· 恭喜H女士新西兰工作签证申请通过
· 恭喜Chen先生!加拿大🇨🇦LMIA工签续签翻案申请成功
免费定制移民方案
+86
+1
+86
+86
中国大陆China
+1
加拿大Canada
获取验证码
Source Url
提交信息
移民评估
联邦EE打分
BC省打分
返回顶部